Par Sébastien Flet Reitz, directeur technique au Syndicat de l’éclairage
L’UGR suscite des débats passionnés. En effet, c’est un critère d’éclairagisme très présent, dès lors que l’on s’intéresse de près au confort visuel d’une installation d’éclairage. Alors que se cache-t-il derrière ce terme si prisé ?
Une indication du confort d’éclairage
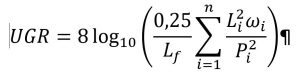
Le terme UGR (Unified Glare Rating), dont la traduction signifie « indice d’éblouissement unifié », est issu de la publication CIE 117 de 1995. C’est en réalité une mesure de l’inconfort, ou plus précisément d’éblouissement d’inconfort. Il est à distinguer de l’éblouissement d’incapacité, qui provoque, lui, une réelle incapacité à percevoir les personnes, les objets ou l’environnement. L’éblouissement d’inconfort n’empêche pas d’effectuer une activité, mais dégrade les conditions visuelles jusqu’à créer des problèmes à long terme : fatigue visuelle, maux de tête… Il est en particulier lié aux types de luminaires employés, à leur disposition, et à la luminance de fond. Pour parler d’UGR, la formule ci-dessous est à chaque fois invoquée mais rarement expliquée, essayons ici de la démystifier :
Le principe de cette formule est de calculer, pour chaque luminaire (d’où la somme ∑), une valeur qui tient compte de la luminance Li du luminaire, de l’angle d’observation Li et de la position P du luminaire par rapport à la direction d’observation. Car oui, l’UGR est bien une évaluation de l’éblouissement d’inconfort pour un observateur donné dans un contexte donné. Ensuite, on additionne ces valeurs et on les divise par la luminance de fond Lf Voyons à présent ce que signifient tous ces paramètres :
• La luminance Li du luminaire : c’est la luminance moyenne de la partie lumineuse, et toute la surface émettrice de lumière doit être considérée (la surface optique, et non seulement celle des luminophores par exemple). Dans la formule, elle est mise au carré, ce qui signifie qu’une augmentation de luminance Li du luminaire va faire très vite augmenter le résultat global. En d’autres termes, réduire cette luminance permet de réduire efficacement l’UGR.
• L’angle d’observation w : ce paramètre permet de considérer la surface visible du luminaire. Ainsi, un luminaire lointain offre une surface visible moindre, contrairement à un luminaire proche, ainsi que l’explique le schéma ci-dessous (source : leclairage.fr). Bien entendu, plus le luminaire est lointain, plus l’angle diminue et meilleur sera l’UGR : il est aisé de comprendre qu’un luminaire est moins éblouissant au fur et à mesure qu’on s’en éloigne.

• La position P du luminaire par rapport à la direction d’observation : les luminaires sont moins une source d’éblouissement lorsqu’ils s’éloignent de l’axe du regard. Un luminaire placé au-dessus de l’observateur ne sera pas dans son champ de vision et ne provoquera donc pas d’éblouissement, la formule tient compte de cela.
• La luminance de fond Li : il s’agit de la luminance globale du champ visuel. Plus elle augmente, et moins l’éblouissement est élevé. Si cela est très contre-intuitif, c’est parce que l’on sous-estime beaucoup la capacité d’adaptation de notre œil. En effet, avec une luminance de fond élevée, notre pupille sera plutôt fermée et donc notre œil protégé contre l’éblouissement des luminaires. Pour bien comprendre cela, il suffit de se figurer des phares de voiture : ils sont plus éblouissants la nuit – lorsque notre pupille est dilatée – que le jour. Or, leur luminance ne change pas ! Il s’agit de la notion de contrastes de luminance, et l’indice UGR en tient donc bien compte.
Comment utiliser l’UGR
Une installation d’éclairage qui offre un UGR faible garantit un éblouissement faible, et donc un bon confort d’éclairage. Mais l’UGR est une donnée projet, et non pas une donnée produit. On en arrive à l’importance de l’étude d’éclairage et de la démarche de projet. Malheureusement, les installations ne bénéficient pas toutes d’une étude d’éclairage : les fabricants ont donc trouvé un consensus qui consiste à définir une configuration type, et à calculer l’UGR d’un luminaire placé dans cette configuration*. Cela permet ainsi de proposer, dans les catalogues, une valeur UGR pour donner une indication sur le confort visuel que peut offrir chaque produit. Mais attention : le confort visuel réel que procurera un luminaire sera différent selon le contexte d’installation, et ces valeurs « standard » sont donc à manipuler en toute connaissance de cause !
Avec la LED omniprésente, quelles perspectives pour l’UGR ?
Il est légitime de se demander si l’indice UGR, développé avant l’arrivée de la LED, est toujours aussi fiable maintenant que cette technologie est quasi hégémonique. L’éclairage intérieur, qui utilisait surtout des tubes fluorescents, est susceptible d’utiliser avec la LED des luminaires qui présentent au sein de leurs optiques des pics de luminance élevés. Considérer la luminance moyenne a-t-il encore du sens ? C’est la question que s’est posée la CIE, qui a recensé de nombreuses études indiquant qu’une source non uniforme est plus éblouissante qu’une source uniforme (à luminance moyenne identique). Si l’UGR reste encore un bon indicateur du confort visuel d’une installation, il est donc possible que d’autres méthodes émergent pour mieux cerner la performance visuelle d’un éclairage LED. * NDLR : le Syndicat de l’éclairage prépare actuellement une publication pour présenter cette configuration « standard ».
Sébastien Flet Reitz, directeur technique au Syndicat de l’éclairage
Voir article « La vérité sur l’UGR » sur le site du Syndicat de l’éclairage



